阻性测试负载
  • 阻性测试负载

阻性测试负载

产品介绍
交流纯阻性负载,采用分段式组合控制,支持突加/突卸,内部使用自研发功率模块,功率密度高,耐热性强,强制风冷,保证负载能持续运行;整机采用模块化设计,操作简单,维护方便;可根据需求检测显示负载端电压、电流、功率等电气参数,是UPS、逆变器、充电桩、变频器、发电机及电源等产品不可缺少的检测设备。本产品适合电力电子产品带载测试及老化测试。

产品特点:

       

产品特点 Features: 

▶显示功能:带电压、电流、功率、频率、电量等电参数显示;Display function: display voltage, current, power, frequency, electric quantity and other electrical parameters;

▶保护功能:具备超温报警、超温保护、过压保护、过流保护功能,异常状态负载自动卸载,保证设备以及人身安全;Protection function: over-temperature alarm, over-temperature protection, over-voltage protection, over-current protection, automatic load unloading under abnormal conditions, to ensure equipment and personal safety;

▶核心功率模块:自主研发功率模块,自主生产,功率密度高,耐热性强,温漂低,无红热现象,使用寿命长;Core power module: self-developed power module, self-developed, high power density, strong heat resistance, low temperature drift, no red heat phenomenon, long service life;

▶控制方式可选:手动控制或者触摸屏控制;Optional control mode: manual control or touch screen control;

▶负载精度:±5%;Load accuracy: ± 5%;

▶散热方式:负载采用强制风冷散热,使用小型轴流风机,风量大,噪音小,保证负载能持续稳定运行; Heat dissipation mode: forced air cooling heat dissipation is adopted for load, and small axial flow fan is adopted, with large air volume and low noise, so as to ensure continuous and stable operation of load;

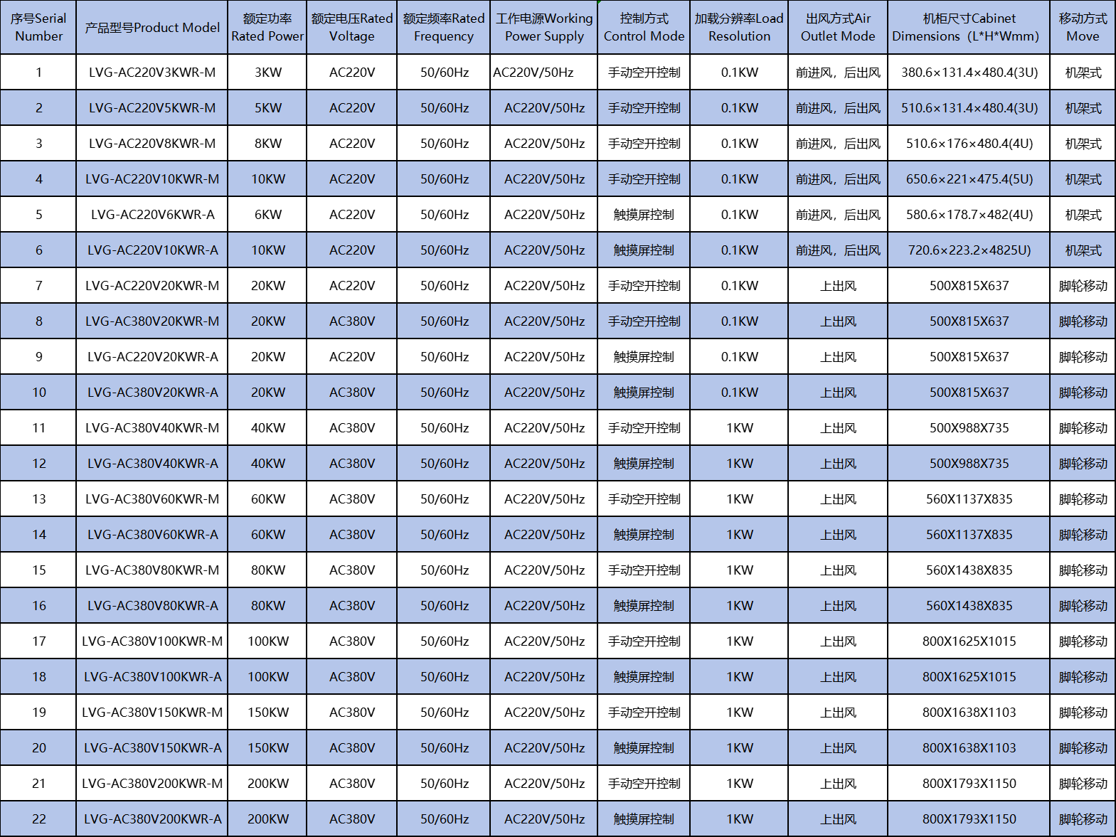
规格型号Specification and model:

                                  特注:其它定制型号请详询销售工程师。Special note: For other customized models, please refer to the sales engineer.

本站使用百度智能门户搭建 管理登录
粤ICP备2024337030号